Selectividad Andalucía 2018 Septiembre suplente A2
Se considera la función ![]()
– a) Estudie la continuidad y la derivabilidad de la función
– b) Calcule los puntos de corte de la gráfica de
con los ejes de coordenadas.
– c) Calcule las asíntotas de
, en caso de que existan.
SOLUCIÓN
– a) Estudie la continuidad y la derivabilidad de la función ![]()
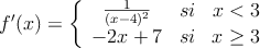
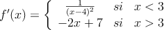
La función es derivable en R-{3} y su derivada vale
![]()
Veamos si es derivable en el punto x=3
![]()
![]()
Las derivadas laterales coinciden, por tanto es derivable en x=3
En resumen, f es derivable en todo R y su derivada vale:
![]()
Al ser dervable en R, también es continua en todo R
– b) Calcule los puntos de corte de la gráfica de
con los ejes de coordenadas.
Puntos de corte del primer trozo ![]()
Si ![]()
Corta en el punto ![]()
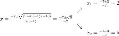
Si ![]()
El punto (5,0) no está en su dominio x<3
Puntos de corte del segundo trozo ![]()
Si
no pertenece al dominio ![]()
Si ![]()

La solución x=2 no pertenece al dominio ![]()
La solución x=5 si nos vale. Corta en el punto ![]()
En resumen, los puntos de corte son
y ![]()
– c) Calcule las asíntotas de
, en caso de que existan.
El segundo trozo
no tiene asíntotas (las funciones polinómicas no tienen asíntotas).
el primer trozo
tiene asíntota vertical en x=4 pero está fuera de su dominio (x<3)
![]()
Tiene asíntota horizontal
por la izquierda