Selectividad Murcia Junio 2012 B3
Dada la función
, se pide:
a) Dominio de definición y puntos de corte con los ejes.
b) Estudio de las asíntotas (verticales, horizontales y oblicuas).
c) Intervalos de crecimiento y decrecimiento. Extremos (máximos y mínimos).
d) Representación gráfica aproximada.
SOLUCIÓN
Dominio
El radicando de
no puede ser negativo.
Resolviendo la inecuación
se obtienen como solución
>
El denominador tampoco puede ser cero:
, aunque en este caso no influye.
Por tanto el dominio es ![]()
Corte con los ejes
Si
No puede tomar el valor 0 porque no está en el dominio, por tanto no hay corte con el eje ![]()
Si ![]()
![]()
Los puntos de corte son
y ![]()
Asíntotas verticales
No tiene asíntotas verticales.
Asíntotas horizontales
![]()
![]()
![]()
Para calcular los límites anteriores he usado estas propiedades:
– Cálculo de límites de funciones irracionales (II)
– Cálculo de límites de funciones irracionales (III)
La función tiene dos asíntotas horizontales:
por la derecha (
)
por la izquierda (
)
Asíntotas oblicuas
No tiene asíntotas oblicuas (incompatibles con las horizontales)
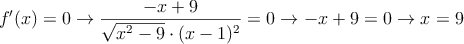
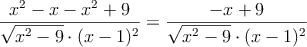
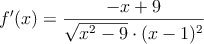
Monotonía y extremos

![]()
![]()
Los intervalos a considerar son:
![]()
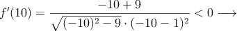
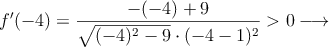
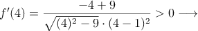
Para comprobar si crece (o decrece), analizamos el signo de la derivada en cada uno de los intervalos.
Observe que el denominador es siempre positivo, por tanto basta con analizar el signo del numerador
CRECE en ![]()
CRECE en ![]()
DECRECE en ![]()
A la izquierda de 9 crece y a la derecha decrece, junto con la continuidad de la función, garantizan que hay un máximo en x=9
![]()
Hay un máximo en el punto 