Cálculo de límites de funciones irracionales (II)
Cálculo de límites de funciones irracionales cuando x tiende a infinito
En el caso de funciones del tipo «raíz de polinomio» podemos aplicar lo siguiente:
![]()
Nos quedamos con el término de mayor grado y despreciamos el resto (al igual que ocurre con los límites de polinomios).
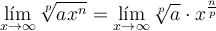
Finalmente se nos puede quedar una expresión del tipo:
![]()
Veamos un ejemplo:
![]()
El límite es 0 porque el grado del denominador es mayor
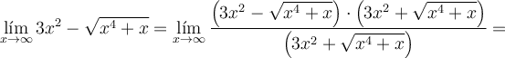
En el siguiente ejemplo ya empiezan las complicaciones
![]()
![]()
Multiplicamos y dividimos por el conjugado

![]()
Observe que el grado del numerador es mayor que el grado del denominador