Suma y Resta de enteros con paréntesis y corchetes

💬 2

  enteros

Suma y Resta de enteros con paréntesis y corchetes

Se empieza a operar desde dentro hacia afuera (Ejemplo: si hay un paréntesis/corchete dentro de otro, se opera primero el de dentro).

 1) Se operan primero los paréntesis y/o corchetes
 2) Se eliminan paréntesis y/o corchetes

Para eliminar paréntesis y/o corchetes:

 Si va precedido de signo «-» se elimina y se le cambia el signo a todos los números que hay dentro

-(5-4+3) = -5+4-3


 Si va precedido de signo «+» se elimina y se deja el mismo signo a todos los números que hay dentro

+(5-4+3) = 5-4+3

Veamos un ejemplo:

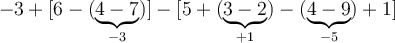
-3+[6-(4-7)]-[5+(3-2)-(4-9)+1]


-3+[6-(\underbrace{4-7}_{-3})]-[5+(\underbrace{3-2}_{+1})-(\underbrace{4-9}_{-5})+1]


-3+[6-(-3)]-[5+(+1)-(-5)+1]


-3+[6\underbrace{-(-3)}_{+3}]-[5\underbrace{+(+1)}_{+1}\underbrace{-(-5)}_{+5}+1]


-3+[\underbrace{6+3}_{+9}]-[\underbrace{5+1+5+1}_{+12}]


-3\underbrace{+[+9]}_{+9}\underbrace{-[+12]}_{-12}


\underbrace{-3+9}_{+6}-12


+6-12


\fbox{-6}

Comentar el artículo

Mensajes

  • muchas gracias me sirvió mucho!, le entendí mas rápido y mejor a usted que amis profesoras de matemáticas...

    • Hola, Buenas tardes

      Muchas gracias por sus aportes.

      En cuanto al comentario del usuario, que manifiesta que le ha entendido más fácil que a las profesoras de primaria, pues es lógico, acá estas necesitado de entender, estas prestando toda la atención del caso y no tienes a 39 compañeros más, incomodando y generando desorden en la clase.

      Soy estudiante y valoro el esfuerzo que hacen los maestros y maestras, en todo el mundo, por enseñarnos, no sólo los conocimientos sino los valores que nos ayudaran a ser mejores personas.

      FELIZ DIA PARA TODOS LOS MAESTROS Y MAESTRAS DEL MUNDO ENTERO, SIGAN ADELANTE CON SU EXIGENCIA QUE MAS TEMPRANO QUE TARDE LA SOCIEDAD SE LOS AGRADECERÁ.