Tipificación de la variable
Si tenemos una distribución normal
, llamamos tipificar la variable al proceso de convertirla en una Normal Estándar
, lo cual nos permitirá poder consultarla en las tablas.
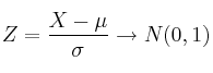
Si
entonces 
Veamos cómo se aplica en la práctica.
Enunciado: Sabemos que
sigue una distribución normal de media 20 y desviación típica 4. Calcula ![]()
Solución:
– Sabemos que
– Nos piden
– Tipificamos:
– Como
sigue una
, podemos mirarlo en las tablas
–
– Por tanto el resultado es
