Volumen y altura de Tetraedro. Geometría 3D

Ejercicios_Resueltosgeometría3D

Calcula el volumen del tetraedro ABCD y la altura del vértice B sobre la cara ACD con los siguientes datos:
[\vec{u}, \vec{v}, \vec{w}]=3 (producto mixto)
|\vec{v} \times \vec{w}|=1 (módulo de producto vectorial)
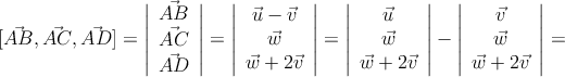
\vec{AB} = \vec{u}-\vec{v}
\vec{AC} = \vec{w}
\vec{AD} = \vec{w}+2\vec{v}

SOLUCIÓN

Usamos el producto mixto para calcular el volumen de un tetraedro con la fórmula:

V= \frac{1}{6} \cdot \left|  [\vec{AB}, \vec{AC}, \vec{AD}] \right|


El producto mixto de 3 vectores se calcula como un determinante donde cada vector es una fila
[\vec{AB}, \vec{AC}, \vec{AD}]=\left| \begin{array}{c}
 \vec{AB} \\ \vec{AC} \\  \vec{AD}
\end{array} \right| = \left| \begin{array}{c}
 \vec{u}-\vec{v} \\ \vec{w} \\  \vec{w}+2\vec{v}
\end{array} \right| =  \left| \begin{array}{c}
 \vec{u} \\ \vec{w} \\  \vec{w}+2\vec{v}
\end{array} \right| -  \left| \begin{array}{c}
 \vec{v} \\ \vec{w} \\  \vec{w}+2\vec{v}
\end{array} \right| =
Estamos aplicando las propiedades de los determinantes
=  \left| \begin{array}{c}
 \vec{u} \\ \vec{w} \\  \vec{w}
\end{array} \right| +  \left| \begin{array}{c}
 \vec{v} \\ \vec{w} \\  2\vec{v}
\end{array} \right| - \left| \begin{array}{c}
 \vec{v} \\ \vec{w} \\  \vec{w}
\end{array} \right| - \left| \begin{array}{c}
 \vec{v} \\ \vec{w} \\  2\vec{v}
\end{array} \right| = 0 + 2 \cdot 3 - 0 - 0 =6

Entonces el volumen es:
V= \frac{1}{6} \cdot \left| 6 \right| = \fbox{1}

Calculamos ahora la altura del vértice B sobre la cara ACD

Como tenemos el volumen, si conseguimos calcular el área de la base, tendremos el problema resuelto.

Volumen = \frac{1}{3} \cdot Abase \times altura

Calculamos el área de la base usando el producto vectorial

A = \frac{1}{2} \cdot \left|  \vec{AD} \times \vec{AC} \right|

\vec{AD} \times \vec{AC} = (\vec{w}+2\vec{v}) \times \vec{w} = \underbrace{\vec{w} \times \vec{w}}_{0}+ (2\vec{v}) \times \vec{w} = 2 \cdot (\vec{v} \times \vec{w})

A = \frac{1}{2} \cdot \left| 2 \cdot (\vec{v} \times \vec{w})  \right| =\frac{1}{2} \cdot 2 \cdot |\vec{v} \times \vec{w}|=1


V = \frac{1}{3} \cdot Abase \times altura


1 = \frac{1}{3} \cdot 1 \times altura \longrightarrow \fbox{altura=3}

Comentar el ejercicio