📝 Ejercicios de dominio
-
Calcula el dominio de las siguientes funciones:
– a)
– b)
– c)
– d)
– e)
– f)
– g)
– h)
– i)
– j)![f(x) = \sqrt[4]{x^2-5x+6} f(x) = \sqrt[4]{x^2-5x+6}](local/cache-TeX/e9e191119e0249588b43a43827057666.png)
-
Calcular el dominio de la función

-
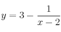
Calcula el dominio de la función

-
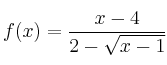
Calcula el dominio de la función

-
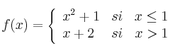
Calcula el dominio de la función

-
Calcula el dominio de la función

-
Calcula el dominio de la función

-
Calcula el dominio de la función

-
Dadas las funciones
,
y
, encuentra el dominio de las siguientes funciones:a)

b)
c)
-
Halla el dominio de la función:

-
Halla el dominio de la función

-
Halla el dominio de la función
![y = \sqrt[5]{\frac{x^3-2x^2}{x^2-9}} y = \sqrt[5]{\frac{x^3-2x^2}{x^2-9}}](local/cache-TeX/a689a171006bf2c73ed8cb68c1b5f2a4.png)
-
Halla el dominio de la función

-
Calcula el dominio de las siguientes funciones:
– a)
– b)
– c)
– d)
– e)
– f)
– g)
– h)
– i)
– j)![f(x) = \sqrt[4]{x^2-5x+6} f(x) = \sqrt[4]{x^2-5x+6}](local/cache-TeX/e9e191119e0249588b43a43827057666.png)
-
Halla el dominio de la función:

-
Halla el dominio de la función:

-
Halla el dominio de la función:

-
Calcula el dominio de la función

-
Calcula el dominio de definición de las siguientes funciones:
– a)
– b)
– c)
– d)![i(x) = \sqrt[3]{2x-1} i(x) = \sqrt[3]{2x-1}](local/cache-TeX/32327e3b0ea0fef308d317f663711688.png)
-
Calcula el dominio de definición de las siguientes funciones:
– a)
– b)