Calcular el dominio de una función
Calcula el dominio de la función 
SOLUCIÓN
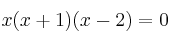
En las funciones racionales el dominio es todos los números reales excepto los que hacen 0 el denominador.
Para ver cuáles son esos números, igualamos denominador a cero y resolvemos
![]()
Producto de factores
alguno de los factores es 0.
Las posibilidades son:
–
–
– 
Por tanto el dominio es ![]()