problema programación lineal
Unos grandes almacenes desean liquidar 200 camisas y 100 pantalones de la temporada anterior. Para ello lanzan dos ofertas: A y B. La oferta A consiste en un lote de una camisa y un pantalón, que se vende a 30 euros. La oferta B consiste en un lote de 3 camisas y 1 pantalón y se vende a 50 euros. No se desea ofrecer menos de 20 lotes de la oferta A, ni menos de 10 lotes de la oferta B. ¿Cuántos lotes ha de vender de cada tipo para maximizar las ganancias?
SOLUCIÓN
– Hacemos el cuadro con los datos del problema:
| oferta A | oferta B | Restricciones | Inecuaciones | |
| camisas | 1 | 3 | máximo 200 | |
| pantalones | 1 | 1 | máximo 100 | |
| cantidad | x | y | ||
| precio | 30 | 50 |
Función objetivo: ![]()
– Dibujamos las inecuaciones y la región factible
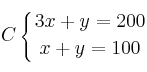
– Calculamos los vértices de la región factible (resolviendo el sistema formado por las dos ecuaciones de las dos rectas que pasan por cada vértice)
A modo de ejemplo, para el vértice C sería:

Resolvemos por sustitución:
![]()
![]()
![]()
Los vértices son:
![]()
![]()
![]()
![]()
– Aplicamos la función objetivo a cada uno de los vértices:
![]()
![]()
![]()
![]()
![]()
El máximo es 4000 y lo alcanza en el punto (50,50)
Por tanto, tiene que vender 50 lotes de la oferta A y otros 50 de la oferta B para obtener una ganancia máxima de 4000 euros
