📝 Ejercicios de simetría de función
-
Realiza un estudio global (dominio, simetrías, corte con los ejes, asíntotas, monotonía, extremos y representación gráfica) de la función:

-
A partir de la gráfica, indica el tipo de simetría que presenta cada una de la siguientes funciones:
-
Indica en la siguiente gráfica:
– Dominio e Imagen
– Simetrías
– Intervalos de crecimiento y decrecimiento
– Continuidad
– Máximos y mínimos
-
Indica en la siguiente gráfica:
– Dominio e Imagen
– Simetrías
– Intervalos de crecimiento y decrecimiento
– Continuidad
– Máximos y mínimos
-
Indica en la siguiente gráfica:
– Dominio e Imagen
– Simetrías
– Intervalos de crecimiento y decrecimiento
– Continuidad
– Máximos y mínimos
-
Indica en la siguiente gráfica:
– Dominio e Imagen
– Simetrías
– Intervalos de crecimiento y decrecimiento
– Continuidad
– Máximos y mínimos
-
Estudie si existe alguna simetría en las siguientes funciones:
– a)
– b)
– c)
-
Indica el tipo de simetrías (si las hay) de las siguientes funciones:
–
–
–
–
–
–
–
-
A partir de la gráfica, indica el tipo de simetría que presenta cada una de la siguientes funciones:
-
Indica si existe simetría en las siguientes funciones:
–
–
–
–
-
Sea
una función para y
una función impar. Estudia cuáles de las siguientes funciones son pares y cuáles son impares:– a)
– b)
-
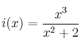
Estudia, gráfica y analíticamente, la simetría de la función

-
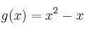
Estudia, gráfica y analíticamente, las simetría de la función

-
¿Existe alguna función que sea par e impar a la vez?