Funciones
Mat. Aplicadas C. Sociales I - Funciones
Sea la función:

– a) Representación gráfica
– b) Indica Dominio, Corte con los ejes, Asíntotas, Monotonía y Extremos
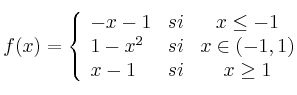
A continuación puedes ver la gráfica de una función definida a trozos. Obtén la expresión analítica, utilizando las expresiones adecuadas.
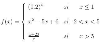
En la siguiente función indica:
a) Dominio
b) Recorrido
c) Extremos relativos (máximos y mínimos)
d) Puntos de corte. Si no coincide con un valor entero, utiliza una cifra decimal para expresarlo.
e) Monotonía (intervalos de crecimiento y decrecimiento)
Hallas asíntotas, puntos de corte con los ejes, dominio y rango de la función
. Dibuja su gráfica.
Halla el dominio de las siguientes funciones:
– a)
– b)
– c) ![]()
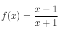
Dada la función
, se pide:
– a) Dominio, asíntotas, monotonía y corte con los ejes
– b) Representación gráfica
Representa gráficamente la siguiente función:

El beneficio esperado de una empresa, en millones de euros, viene dado por la función

donde x representa el tiempo transcurrido en años.
– a) Representa gráficamente la función
– b) Explica cómo es la evolución del beneficio esperado durante esos 8 años y calcula cuándo el beneficio esperado es de 11,25 millones de euros.
Representa gráficamente las funciones:
– a)
– b) 
Determina la monotonía y los extremos relativos de la función ![]()