Funciones - Estudio Global

asíntotascorte_ejesdominioEjercicios_Resueltosfuncionesgráfica_hipérbolamonotonía

Dada la función f(x) = \frac{x-1}{x+1} , se pide:

 a) Dominio, asíntotas, monotonía y corte con los ejes
 b) Representación gráfica

SOLUCIÓN

a) Al tratarse de una función racional, su dominio son todos los reales excepto los que anulan el denominador.
x+1=0 \longrightarrow x=-1

Dom(f)=\textcolor{blue}{R-\{-1\}}

Asíntotas

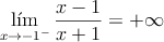
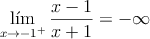
Tiene asíntota vertical en \textcolor{blue}{x=-1}

\lim_{x \rightarrow -1^{-}} \frac{x-1}{x+1} = +\infty

\lim_{x \rightarrow -1^{+}} \frac{x-1}{x+1} = -\infty

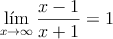
Tiene asíntota horizontal en \textcolor{blue}{y=1}

\lim_{x \rightarrow \infty} \frac{x-1}{x+1} = 1

Corte con los ejes de coordenadas

Si x=0 \longrightarrow y=\frac{0-1}{0+1} = -1
Corta en el punto \textcolor{blue}{(0,-1)}

Si y=0 \longrightarrow 0=\frac{x-1}{x+1} \longrightarrow 0=x-1 \longrightarrow x=1
Corta en el punto \textcolor{blue}{(1,0)}

Monotonía
Mirando la gráfica vemos que:
(-\infty,-1) \nearrow CRECE
(-1, +\infty) \nearrow CRECE

Comentar el ejercicio