Funciones, Derivadas e Integrales

(245) ejercicios de Matemáticas PAU Andalucía

(39) ejercicios de Matemáticas II — Análisis (Funciones, Continuidad, Límites, Derivadas e Integrales)

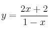
Halla el área del recinto rayado que aparece en la figura adjunta sabiendo que la parte curva tiene como ecuación y = \frac{2x+2}{1-x}

De la función f : R \longrightarrow R se sabe que f\textsc{\char13} \textsc{\char13}(x) = x^2 + 2x +2 y que su gráfica tiene tangente horizontal en el punto P(1,2). Halla la expresión de f

Siendo Ln(x) el logaritmo neperiano de x , considera la función f : (0, +\infty) \longrightarrow R definida por f(x) = x \cdot Ln(x) . calcula:

 (a) \int f(x) dx
 (b) Una primitiva de f cuya gráfica pase por el punto (1,0)

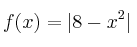
Sea f : R \longrightarrow R la función definida por f(x) = |8 - x^2|

 (a) Esboza la gráfica y halla los extremos relativos de f (dónde se alcanzan y cuáles son sus respectivos valores)
 (b) Calcula los puntos de corte de la gráfica de f con la recta tangente a la misma en el punto de abcisa x=-2