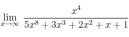
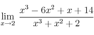
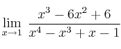
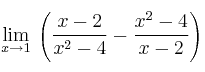
📝 Ejercicios de funciones
-

-

-

-

-

-

-

-

-

-

-

-

-

-

-

-

-

-

-

-
Calcula el valor de
para que la siguiente función sea continua: