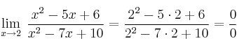
Calcular límite de una función racional

SOLUCIÓN
Indeterminación
. Tenemos que buscar el factor
en el numerador y en el denominador (podemos usar Ruffini para factorizar ambos polinomios).


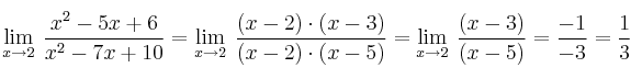
Indeterminación
. Tenemos que buscar el factor
en el numerador y en el denominador (podemos usar Ruffini para factorizar ambos polinomios).
