📝 Ejercicios de integrales
-
Resuelve la intergral

-
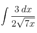
Resuelva la integral

-
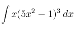
Resuelva la integral

-
Resuelve las integrales:
–
–
-
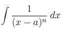
Resuelve la integral:
–

-
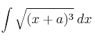
Resuelve la integral:
–

-
Resuelve la integral:
–

-
Resuelve la integral:
–

-
Resuelve la integral:
–

-
Resuelve la integral:
–

-
Resuelve la integral:
–

-
Resuelve la integral:
–

-
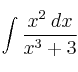
Resuelve la integral:
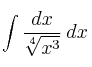
–
![\int \frac{dx}{\sqrt[4]{x^3}} \: dx \int \frac{dx}{\sqrt[4]{x^3}} \: dx](local/cache-TeX/9dfa51506cbc60ce5b26c3f701047291.png)
-
Resuelve la integral indefinida

-
Resuelve la integral:
–

-
Resuelve la integral:
–

-
Resuelve la integral:
–

-
Resuelve la integral:
–

-
Resuelve la integral:
–

-
Resuelve la integral:
–
