Integrales - Ejercicios
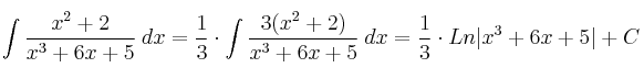
Resuelve la integral:
– 
SOLUCIÓN
Se trata de una integral inmediata de tipo Logaritmo Neperiano
Para aplicar la fórmula
necesitamos que en el numerador esté la derivada del denominador.
Para ello necesitamos un pequeño cambio:
