📝 Ejercicios de inecuaciones_2_grado
-
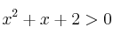
Resuelve la inecuación

-
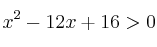
Resuelve la inecuación

-
Resuelve la inecuación

-
Resuelve la inecuación

-
Resuelve la inecuación

-
Resuelve la inecuación

-
Resuelve la inecuación

-
Resuelve la inecuación

-
Resuelve la inecuación

-
Resuelve la inecuación

-
Resuelve la inecuación

-
Resuelve la inecuación

-
Resuelve la inecuación

-
Resuelve las inecuaciones:
– a)
– b)
-
Resuelve las inecuaciones:
– a)
– b)
-
Resuelve la inecuación

-
Resuelve la inecuación
