Inecuaciones segundo grado 3205
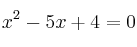
Resuelve la inecuación ![]()
SOLUCIÓN
![]()
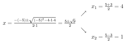
Si resolvemos la ecuación de segundo grado
obtenemos como soluciones
y ![]()

Eso nos divide la recta real en 3 intervalos:
![]()
Para comprobar si cada uno de los intervalos pertenece a la solución, tomamos un punto de cada intervalo y verificamos si cumple la inecuación:
? NO
? SI
? NO
Por tanto la solución sería el intervalo ![]()
Observamos que los puntos 1 y 4 no pertenecen a la solución (no cumplen la inecuación) por lo que el intervalo solución lo hemos puesto abierto (sin incluir ni el 1 ni el 4)
Otra forma de resolverla
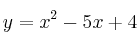
Después de resolver la ecuación de segundo grado y obtener las soluciones 1 y 4, podemos dibujar la parábola ![]()
No es necesario dibujarla de forma perfecta. Basta con saber que es convexa (el coeficiente de
es positivo) y que los puntos de corte son: 1 y 4 y
Como la inecuación
dice "menor que 0" tomamos la parte que hay bajo el eje horizontal, es decir la solución es ![]()
Tomamos el intervalo abierto por que es "<" (menor estricto)