📝 Ejercicios de integrales por sustitución
-
Resuelve la integral:

-
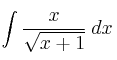
Resuelva la integral
usando el cambio de variable 
-
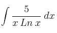
Resuelve la integral indefinida
aplicando el cambio 
-
Aplica el cambio
para resolver la integral

-
Calcule la integral definida

-
Calcule la integral definida:

-
Resuelva la integral

-
Resuelve la intergral

-
Resuelve la intergral

-
Resuelva la integral

-
Resuelva la integral

-
Resuelve la integral:
–

-
Resuelve la integral:
–

-
Resuelve la integral:
–

-
Sea

– a) Expresa
aplicando el cambio de variable
– b) Calcula el valor de