09 - Simétrico de un punto respecto de otro punto
Para hallar el simétrico de un punto respecto de otro punto, nos basamos en las fórmulas del punto medio de un segmento.
Punto medio de un segmento
Punto medio de un segmento en tres dimensiones

Ejemplo: Calcula el simétrico de
respecto de ![]()
Llamamos
al simétrico buscado.
será el punto medio del segmento ![]()
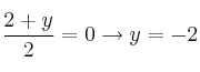
–
–
– 
Por tanto, el simétrico es ![]()