08 - Segmentos
Segmento
Segmento en el espacio
Longitud de un segmento
longitud
Punto medio de un segmento
Punto medio de un segmento
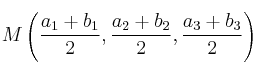
Punto medio de un segmento en tres dimensiones
Las coordenadas del punto medio M son:

Dividir un segmento en “n” partes iguales
Dividir un segmento en varias partes iguales
Dividir un segmento en varias partes iguales
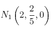
– Ejemplo: Divide en 5 partes iguales el segmento formad por los puntos
y ![]()
Dividir un segmento en 5 partes iguales
Dividir un segmento en 5 partes iguales
Queremos calcular las coordenadas de
, que llamaremos ![]()
Por tanto, 
El resto de puntos los podríamos calcular de muchas formas, por ejemplo haciendo 