Sistemas de Ecuaciones
Sistemas de Ecuaciones - 1º Bachillerato de Ciencias
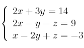
Resuelve el sistema de ecuaciones:

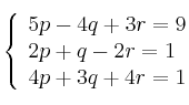
Resuelve el sistema de ecuaciones:

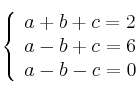
Resuelve el sistema de ecuaciones:

- 1
- 2
Sistemas de Ecuaciones - 1º Bachillerato de Ciencias
Resuelve el sistema de ecuaciones:

Resuelve el sistema de ecuaciones:

Resuelve el sistema de ecuaciones:
