Sistema Lineal 3x3 resuelto por sustitución
Resuelve el sistema de ecuaciones:

SOLUCIÓN

Resolvemos el sistema por el método de sustitución.
Despejamos
en la primera ecuación y sustituimos en las otras dos ecuaciones
Ahora sustituimos:

Debemos resolver el sistema de dos ecuaciones con dos incógnitas

De la primera ecuación obtenemos
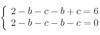
Sustituimos en la segunda ecuación:
![]()
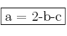
Una vez obtenidos los valores de b y c, sustituimos en la expresión donde despejamos a: ![]()
![]()