Matrices, Determinantes y Sistemas
(245) ejercicios de Matemáticas PAU Andalucía
(66) ejercicios de Matemáticas II — Álgebra (Matrices, Determinantes y Sistemas)
Determina la matriz
que verifica la ecuación
siendo
y ![]()

Determina una matriz
simétrica (
coincide con su traspuesta) sabiendo que
y

Considera el siguiente sistema de ecuaciones

– a) Determina, si es posible, un valor de
para que el correspondiente sistema tenga una y sólo una solución.
– b) Determina, si es posible, un valor de
para que el correspondiente sistema tenga al menos dos soluciones.
– c) Determina, si es posible, un valor de
para que el correspondiente sistema no tenga solución.
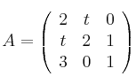
Considera la matriz

Calcula los valores de
para los que el determinante de A es positivo y halla el mayor valor que alcanza dicho determinante.
Considera la matriz

– a) Halla los valores de
para los que la matriz
tiene inversa.
– B) Calcula, si es posible, la inversa de la matriz
para ![]()