Calcular altura de edificio
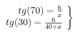
Observamos el punto más alto de un edificio bajo un ángulo de
sobre la horizontal. Si nos alejamos 40 metros, lo vemos bajo un ángulo de
.
– Calcula la altura del edificio
– ¿A qué distancia del edificio estábamos?
SOLUCIÓN
Es el problema clásico de la doble tangente.
Se resuelve aplicando la tangente en los dos triángulos rectángulos:

Se obtiene un sistema de dos ecuaciones con dos incógnitas (x y h).
Lo vamos a resolver por el método de sustitución:
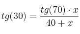
Despejamos "h" en la primera ecuación
![]()
y sustituimos en la segunda

Quitamos denominadores (pasamos el denominador del segundo miembro, que está dividiendo, al primero multiplicando)
![]()
Quitamos paréntesis
![]()
Términos con "x" a la izquierda y números a la derecha
![]()
Hay dos términos que llevan "x". Tenemos que agruparlos
![]()
Finalmente despejamos "x"

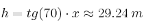
Usando la calculadora obtenemos un valor aproximado de
![]()
Ahora podemos calcular "h"
![]()
Mensajes
24 de abril de 2020, 17:47, por daniel pardo
desde lo alto de un edificio se deja caer libremente un cuerpo llegando al suelo con una rapidez de 50m por segundo calcula altura de edificio cuanto tarda en tener una velocidad de 40 metros por segundo
24 de abril de 2020, 17:51, por daniel pardo
Desde 180 m se deja caer un cuerpo. Calcular:
a) La rapidez que lleva a los 5 seg
b) La rapidez que tendrá cuando haya descendido 100m
c) Tiempo que tarda en llegar al suelo