Polinomios
(127) ejercicios de Polinomios
-
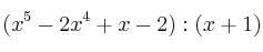
Halla el cociente y el resto de la división:

-
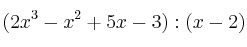
Halla el cociente y el resto de la división:

-
Calcula y simplifica:
– a)
– b)
-
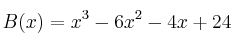
Halla el cociente y el resto de las siguientes divisiones:
– a)
– b)
-
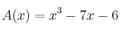
Indica cuáles de los números:
son raíces de los siguientes polinomios:–
–
–
