Inecuaciones
(19) ejercicios de Inecuaciones
-
Resuelve las siguientes inecuaciones:
– a)
– b)
-
Resuelve las siguientes inecuaciones:
– a)
– b)
-
Expresa en forma de intervalo la solución de la inecuación

-
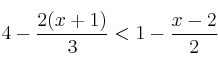
Resuelve la inecuación:

-
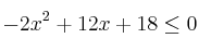
Resuelve la inecuación

