Circunferencia dados el centro y un punto
Determine la ecuación de la circunferencia de centro
que pasa por el punto
. Halle los puntos de corte de dicha circunferencia con el eje ![]()
SOLUCIÓN
Si tenemos el centro P y pasa por el punto Q, podemos calcular el radio como la distancia entre P y Q
![]()
Teniendo centro y radio, podemos usar la ecuación canónica de la circunferencia
![]()
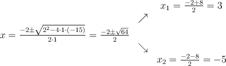
Si ![]()
![]()
![]()
![]()

Por tanto, los puntos de corte son
y ![]()
Veamos cómo sería el dibujo