• Apuntes
  • Vídeos
  • Ejercicios
    • Resueltos
    • Por Curso
      • 1º ESO
      • 2º ESO
      • 3º ESO
      • 4º ESO
      • 1º BACH. CIENCIAS
      • 1º BACH. SOCIALES
      • 2º BACH. CIENCIAS
      • 2º BACH. SOCIALES
  • Más recursos
    • Actividades Interactivas
    • Selectividad (PAU)
    • Acceso Mayores 25
    • LaTeX
Inicio ›EJERCICIOS de Matemáticas ›4º ESO ›Polinomios ›Cociente de Polinomios

Cociente de Polinomios

división_clásica_polinomiosEjercicios_Resueltosoperaciones_con_polinomios

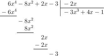
Sean los polinomios:

– A(x) = 6x^4-8x^2+2x-3
– B(x) = -2x

Calcula \frac{A(x)}{B(x)}

SOLUCIÓN

\polylongdiv[style=D]{6x^4-8x^2+2x-3}{-2x}

Cociente: \: -3x^3+4x-1
Resto: \: -3

Comentar el ejercicio

  • 4º ESO
    • Números Reales
    • Radicales
    • Logaritmos
    • Polinomios
    • Ecuaciones
    • Sistemas de ecuaciones
    • Proporcionalidad
    • Inecuaciones
    • Trigonometría
    • Funciones 4º ESO
    • Números racionales
    • Circunferencia
    • Geometría en el plano
    • Probabilidad
    • Estadística
  • Mapa del sitio
  • Conectarse
  • 2001-2026 — Matemáticas IES — Contactar con Dani