Cuadrado inscrito y circunscrito a una circunferencia
Dibuja los cuadrados inscrito y circunscrito en una circunferencia de radio 56,52. Calcula el área y el perímetro de cada cuadrado
SOLUCIÓN
El cuadrado inscrito es el rojo (los vértices de un polígono inscrito deben estar en la circunferencia).
El cuadrado circunscrito es el verde (los lados de un polígono circunscrito son tangentes a la circunferencia).
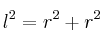
Para calcular área y perímetro del cuadrado inscrito necesitamos calcular el lado.
Si nos fijamos en el triángulo rojo, podemos aplicar Pitágoras:
![]()
![]()
![]()
![]()

El área del cuadrado es ![]()
El perímetro es ![]()
– En el cuadrado circunscrito el lado es el diámetro de la circunferencia
![]()
El área es ![]()
El perímetro es ![]()