Ecuaciones
(69) ejercicios de Ecuaciones
-
Despeja
en la expresión: 
-
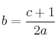
Despeja
en la expresión: 
-
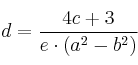
Despeja
en la expresión: 
-
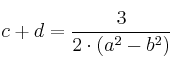
Despeja
en la expresión: 
-
Despeja
en la expresión:
