Números Reales
(43) ejercicios de Números Reales
-
Simplifica las siguientes fracciones:

-
Simplifica las siguientes fracciones:

-
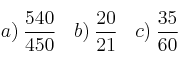
Convierte en irreducibles las siguientes fracciones:

-
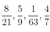
Reduce a común denominador las fracciones:

-
Reduce a común denominador las fracciones:

