Delimitadores. Funciones a trozos
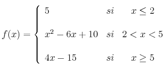
Como ejemplo del uso de los delimitadores, veamos como conseguimos una expresión del tipo:

El código latex usado es:
f(x)= \left\{ \begin{array}{lcc}
5 & si & x \leq 2 \\
\\ x^2-6x+10 & si & 2 < x < 5 \\
\\ 4x-15 & si & x \geq 5
\end{array}
\right.En primer lugar nos fijamos en los delimitadores:
\left{ para iniciar y
\right. para finalizar (delimitador invisible con el punto)
Además hemos usado el entorno array que se encuentra explicado en el artículo matrices
Mensajes
14 de abril de 2020, 02:44, por faby
Gracias, me sirvió en el momento justo.
5 de junio de 2021, 13:05, por Francisco Manuel Castaño Garrido
Muchas gracias
17 de marzo de 2022, 03:37, por Hsb
no es más práctico para este tipo de funciones la orden \cases ???