Sistemas de ecuaciones
Para introducir un sistema de ecuaciones tenemos varias opciones:
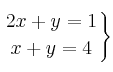
– Usando simplemente delimitadores y \atop para cambiar de línea (vale para sistemas de dos ecuaciones)
| |
|
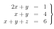
– Usando el entorno eqnarray
| |
|
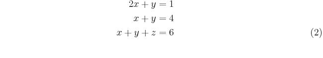
Si queremos que no ponga numeración:
| |
|
– Usando el entorno array de forma análoga a como se hace con una función a trozos salvo que el delimitador (en nuestro caso una llave) lo ponemos en la parte derecha:
| |
|


Mensajes
21 de marzo de 2016, 03:19, por Alexander
Yo necesito escribir un sistema de 2 ecuaciones lineales con 2 incógnitas, pero necesito la llave ubicada a la izquierda, no a la derecha como se muestra aquí. Saludos.
22 de agosto de 2016, 05:42, por Daniel Leon
\left\lbrace
y_1=x_1+1 \atop
y_2=x_2+4
\right.
20 de agosto de 2024, 01:52, por Ariel
\begindisplaymath
\left{ \beginarrayll
x+y=7 \hspace0.8cm \mbox $(i)$ \
x+2y=10 \hspace0.4cm \mbox $(ii)$ \
\endarray
\right.
\enddisplaymath