• Apuntes
  • Vídeos
  • Ejercicios
    • Resueltos
    • Por Curso
      • 1º ESO
      • 2º ESO
      • 3º ESO
      • 4º ESO
      • 1º BACH. CIENCIAS
      • 1º BACH. SOCIALES
      • 2º BACH. CIENCIAS
      • 2º BACH. SOCIALES
  • Más recursos
    • Actividades Interactivas
    • Selectividad (PAU)
    • Acceso Mayores 25
    • LaTeX
Inicio ›EJERCICIOS de Matemáticas ›3º ESO ›Ecuaciones ›Ecuación de segundo grado con la fórmula general

Ecuación de segundo grado con la fórmula general

💬 2

  ecuaciones-segundo-gradoEjercicios_Resueltosformula ecuación 2º grado

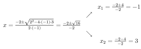
Resuelve la ecuación -x^2+2x+3

SOLUCIÓN


\begin{array}{ccc} & & x_1 = \frac{-2+4}{-2}=-1\\ & \nearrow &\\ x=\frac{-2\pm \sqrt{2^2-4 \cdot(-1)\cdot3}}{2 \cdot(-1)}=
 \frac{-2\pm \sqrt{16}}{-2}& &\\ & \searrow &\\& &x_2 = \frac{-2-4}{-2}=3\end{array}


Comentar el ejercicio

Mensajes

  • 4 de mayo de 2020, 20:01, por Michelle

    No entiendo cómo es que sale 16 !!!

    • 4 de mayo de 2020, 20:12, por dani

      2^2 = 4

      (-4) \cdot (-1) \cdot 3 = +12

      4+12 = \fbox{16}

  • 3º ESO
    • Sistemas de ecuaciones
    • Ecuaciones
    • Polinomios
    • Radicales
    • Potencias
    • Proporcionalidad y Porcentajes
    • Números Reales
    • Funciones y Gráficas
    • Sucesiones
    • Probabilidad
    • Geometría
    • Estadística
    • Problemas especiales
  • Mapa del sitio
  • Conectarse
  • 2001-2026 — Matemáticas IES — Contactar con Dani