Ecuaciones Trigonométricas
Resuelve la ecuación:
![]()
SOLUCIÓN
![]()


![]()
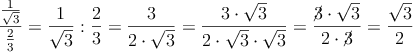
Si recordamos las razones trigonométricas de ángulos notables sabremos que
.
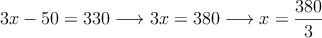
Además, el ángulo 330 (360-30) también tiene el mismo coseno que 30
Por tanto hay dos soluciones (entre 0º y 360º):
–
– ![]()