• Apuntes
  • Vídeos
  • Ejercicios
    • Resueltos
    • Por Curso
      • 1º ESO
      • 2º ESO
      • 3º ESO
      • 4º ESO
      • 1º BACH. CIENCIAS
      • 1º BACH. SOCIALES
      • 2º BACH. CIENCIAS
      • 2º BACH. SOCIALES
  • Más recursos
    • Actividades Interactivas
    • Selectividad (PAU)
    • Acceso Mayores 25
    • LaTeX
Inicio ›EJERCICIOS de Matemáticas ›2º ESO ›Ecuaciones ›Ecuaciones de primer grado con denominadores 2972

Ecuaciones de primer grado con denominadores 2972

ecuacionesecuaciones con denominadoresecuaciones de primer gradoEjercicios_Resueltos

Resuelve la ecuación:

7 + \frac{x}{2} = 8 + \frac{4x}{3}


SOLUCIÓN

7 + \frac{x}{2} = 8 + \frac{4x}{3}


Ponemos denominador 1 a los que no tengan denominador

\frac{7}{1} + \frac{x}{2} = \frac{8}{1} + \frac{4x}{3}


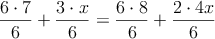
m.c.m.(2,3)=6

\frac{6 \cdot 7}{6} + \frac{3 \cdot x}{6} = \frac{6 \cdot 8}{6} + \frac{2 \cdot 4x}{6}


\frac{42}{6} + \frac{3x}{6} = \frac{48}{6} + \frac{8x}{6}


Quitamos denominadores

42+3x=48+8x

Solución: x = - \frac{6}{5}

Comentar el ejercicio

  • 2º ESO
    • Fracciones
    • Potencias
    • Radicales
    • Números Enteros
    • Proporcionalidad
    • Geometría
    • Ecuaciones
    • Polinomios
    • Gráficas y Funciones 2º ESO
  • Mapa del sitio
  • Conectarse
  • 2001-2026 — Matemáticas IES — Contactar con Dani