Polinomios
(4) ejercicios de Polinomios
-
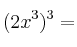
Realiza las siguientes operaciones con monomios:
–
–
–
-
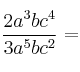
Realiza las siguientes operaciones con monomios:
–
–
-
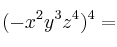
Realiza las siguientes operaciones con monomios:
–
–
-
Dados los polinomios:

calcula:a)

b)
