Fracciones
(25) ejercicios de Fracciones
-
Ordena de menor a mayor las siguientes fracciones:

-
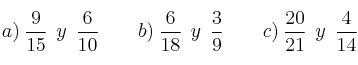
Comprueba si los siguientes pares de fracciones son equivalentes:

-
Calcula y simplifica:
– a)
– b)
-
Calcula y simplifica:
– a)
– b)
-
Calcula y simplifica:
– a)
– b)
