• Apuntes
  • Vídeos
  • Ejercicios
    • Resueltos
    • Por Curso
      • 1º ESO
      • 2º ESO
      • 3º ESO
      • 4º ESO
      • 1º BACH. CIENCIAS
      • 1º BACH. SOCIALES
      • 2º BACH. CIENCIAS
      • 2º BACH. SOCIALES
  • Más recursos
    • Actividades Interactivas
    • Selectividad (PAU)
    • Acceso Mayores 25
    • LaTeX
Inicio ›EJERCICIOS de Matemáticas ›2º ESO ›Ecuaciones ›Ecuaciones de primer grado con paréntesis 2965

Ecuaciones de primer grado con paréntesis 2965

ecuacionesecuaciones de primer gradoecuaciones_con_paréntesisEjercicios_Resueltos

Resuelve la ecuación:

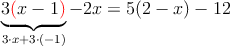
3(x-1) -2x = 5(2-x)-12

SOLUCIÓN

Primero quitamos paréntesis

\underbrace{3\textcolor{red}{(}x-1\textcolor{red}{)}}_{3\cdot x+3\cdot (-1)}-2x=5(2-x)-12

3x-3-2x=5(2-x)-12

3x-3-2x=\underbrace{5\textcolor{red}{(}2-x\textcolor{red}{)}}_{5\cdot 2+5\cdot (-x)}-12

3x-3-2x=10-5x-12

Comentar el ejercicio

  • 2º ESO
    • Fracciones
    • Potencias
    • Radicales
    • Números Enteros
    • Proporcionalidad
    • Geometría
    • Ecuaciones
    • Polinomios
    • Gráficas y Funciones 2º ESO
  • Mapa del sitio
  • Conectarse
  • 2001-2026 — Matemáticas IES — Contactar con Dani