Ecuaciones exponenciales
Son ecuaciones donde la incógnita aparece en el exponente.
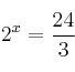
Ejemplo: ![]()
Para resolverlas, el objetivo principal es conseguir transformarla en una ecuación "normal" donde la incógnita no aparezca en el exponente.
Para ello nos ayudamos de las propiedades de las potencias.
Pasos para resolver una ecuación exponencial
1) Pasar todo a potencias de la misma base
2) Dejar una sola potencia a cada lado del signo igual.
Esto puede originar varios tipos de expresiones:
– 2a) Conseguiremos una expresión del tipo
![]()
Ejemplo:
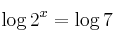
– 2b) Conseguiremos una expresión del tipo
donde C no se puede expresar como potencia de a
Se resuelven tomando logaritmos a ambos lados del signo igual
Ejemplo:
![]()
![]()
![]()

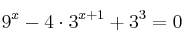
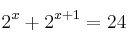
3) No podemos dejar una sola potencia a cada lado porque hay sumas/restas
– 3a) Intentar sacar factor común
Ejemplo:
![]()
![]()
Sacamos factor común
![]()
![]()

![]()

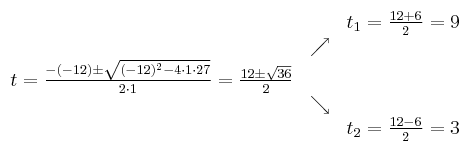
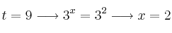
– 3b) Cambio de variable
Ejemplo:
![]()
![]()
![]()
Hacemos el cambio de variable

![]()
Resolvemos la ecuación de 2º grado

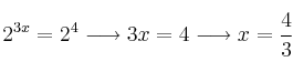
4) Casos especiales
– No podemos conseguir potencias de la misma base, pero si conseguimos iguales exponentes:
![]()
![]()
![]()