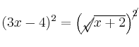
Ecuaciones irracionales
Llamamos irracionales a las ecuaciones que presentan la incógnita dentro de un radicando. Ejemplo ![]()
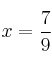
Para resolverlas debemos aislar la raíz a uno de los lados del signo igual y elevar ambos miembros al cuadrado para eliminar la raíz
![]()
![]()

De esa forma la ecuación deja de ser irracional

En las ecuaciones irracionales hay que verificar las soluciones, porque al elevar al cuadrado se pueden introducir soluciones falsas.
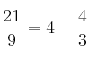
– Si ![]()
![]()
Cierto. La solución
es CORRECTA
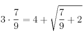
– Si 
![]()
FALSO. La solución
NO ES CORRECTA
Ecuaciones irracionales con varias raíces
Si la ecuación tiene dos o más raíces, antes de nada debemos comprobar si las raíces son semejantes (para poderlas sumar / restar).
Ver ejemplo
Si no son semejantes hay que aislar primero una de ellas y elevar al cuadrado.
Una vez eliminada, se procede a asilar la siguiente raíz y así sucesivamente
Ejemplo de ecuación irracional con dos raíces