• Apuntes
  • Vídeos
  • Ejercicios
    • Resueltos
    • Por Curso
      • 1º ESO
      • 2º ESO
      • 3º ESO
      • 4º ESO
      • 1º BACH. CIENCIAS
      • 1º BACH. SOCIALES
      • 2º BACH. CIENCIAS
      • 2º BACH. SOCIALES
  • Más recursos
    • Actividades Interactivas
    • Selectividad (PAU)
    • Acceso Mayores 25
    • LaTeX
Inicio ›EJERCICIOS de Matemáticas ›4º ESO ›Ecuaciones ›Ecuaciones segundo grado

Ecuaciones segundo grado

ecuacionesecuaciones-segundo-gradoEjercicios_Resueltosformula ecuación 2º grado

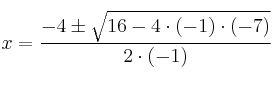
Resuelve la ecuación -x^2 + 4x - 7 = 0

SOLUCIÓN

-x^2 + 4x - 7 = 0
x=\frac{-4 \pm \sqrt{16- 4 \cdot (-1) \cdot (-7)}}{2 \cdot (-1)}
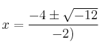
x=\frac{-4 \pm \sqrt{-12}}{-2)}
No tiene soluciones reales

Comentar el ejercicio

  • 4º ESO
    • Números Reales
    • Radicales
    • Logaritmos
    • Polinomios
    • Ecuaciones
    • Sistemas de ecuaciones
    • Proporcionalidad
    • Inecuaciones
    • Trigonometría
    • Funciones 4º ESO
    • Números racionales
    • Circunferencia
    • Geometría en el plano
    • Probabilidad
    • Estadística
  • Mapa del sitio
  • Conectarse
  • 2001-2026 — Matemáticas IES — Contactar con Dani