Ej 1 de Punto Medio de un Segmento
Deduce la fórmula del punto medio de un segmento
SOLUCIÓN
Dado el segmento determinado por los puntos
y
queremos hallar el punto medio
del segmento ![]()
Llamaremos
a las coordenadas del punto medio
que queremos calcular
Podemos ver que el vector
es el doble que el vector ![]()

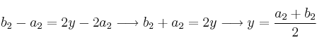
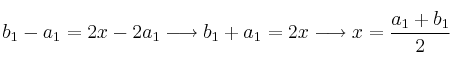
![]()
![]()
Igualando componente a componente:
–
–

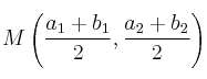
Por tanto las coordenadas del punto medio son:
