Ej 1 de Puntos Alineados
Comprueba si están alineados los siguientes puntos
![]()
SOLUCIÓN
Para comprobar si 3 (o más) puntos están alineados podemos usar el método de los vectores:
Creamos todos los vectores posibles con origen en el mismo punto y comprobamos si son proporcionales.
Si todos los vectores son proporcionales los puntos están en la misma recta.
IMPORTANTE: todos los vectores deben tener el mismo punto origen
Creamos los vectores
,
y ![]()



Veamos si son proporcionales:
y
proporcionales
De momento sabemos que los puntos A,B y C están alineados
y
NO proporcionales
El punto D no está alineado con los puntos A,B y C
Otro método
Otra forma de comprobar si están alineados 3 (o más) puntos es hacer la ecuación de la recta que pasa por los dos primeros y comprobar si el resto de puntos pertenecen a dicha recta.
Veamos la recta que pasa por A y B
Punto: ![]()
Vector 
Ecuación continua:

![]()
![]()
![]()
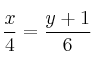
Ahora debemos comprobar si los puntos C y D cumplen la ecuación de la recta anterior
![]()
![]()
![]()
El punto C si la cumple, por tanto los puntos A,B y C están alineados
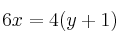
![]()
![]()
![]()
El punto D no la cumple, por tanto el punto D no está alineado con A,B y C
Vamos a comprobar gráficamente que son correctos los resultados obtenidos