Ejemplo de Integración por Partes
Vamos a calcular 
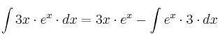
Se trata de un polinomio por una exponencial, caso habitual de integración por partes (siendo "u" el polinomio y "dv" la exponencial)
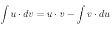
Antes de aplicar la fórmula
, debemos especificar a qué llamamos
y a qué llamamos ![]()
–
– ![]()
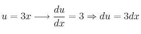
– Derivamos u (respecto de x) y despejamos "du"
– Integramos v
–
– 
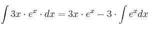
Ahora que tenemos todos los datos, aplicamos la fórmula:
Observamos que la parte a integrar es ahora más fácil
