• Apuntes
  • Vídeos
  • Ejercicios
    • Resueltos
    • Por Curso
      • 1º ESO
      • 2º ESO
      • 3º ESO
      • 4º ESO
      • 1º BACH. CIENCIAS
      • 1º BACH. SOCIALES
      • 2º BACH. CIENCIAS
      • 2º BACH. SOCIALES
  • Más recursos
    • Actividades Interactivas
    • Selectividad (PAU)
    • Acceso Mayores 25
    • LaTeX
Inicio ›EJERCICIOS de Matemáticas ›1º ESO ›Ecuaciones ›Ejercicio 2679 - Ecuaciones

Ejercicio 2679 - Ecuaciones

ecuacionesecuaciones con denominadoresecuaciones de primer gradoEjercicios_Resueltos

Resuelve la ecuación:

8 + \frac{4x}{3} = 7 + \frac{x}{2}

SOLUCIÓN

8 + \frac{4x}{3} = 7 + \frac{x}{2}


Hacemos m.c.m. de los denominadores

\frac{8}{1} + \frac{4x}{3} = \frac{7}{1} + \frac{x}{2}


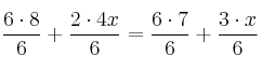
m.c.m. (3,2)=6

\frac{6 \cdot 8}{6} + \frac{2 \cdot 4x}{6} = \frac{6 \cdot 7}{6} + \frac{3 \cdot x}{6}


Ahora podemos quitar denominadores

6 \cdot 8 + 2 \cdot 4x = 6 \cdot 7 + 3 \cdot x


48 + 8x = 42 + 3x

Comentar el ejercicio

  • 1º ESO
    • Ecuaciones
    • Fracciones
    • Geometría
    • Medidas
    • Naturales
    • Enteros
    • Decimales
    • Potencias y raíces
    • Estadística
    • Probabilidad
    • Tablas y Gráficas
    • Proporcionalidad y Porcentajes
  • Mapa del sitio
  • Conectarse
  • 2001-2026 — Matemáticas IES — Contactar con Dani