Potencias y raíces
(15) ejercicios de Potencias y raíces
-
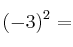
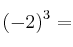
Calcula las siguientes potencias:
– a)
– b)
– c)
– d)
-
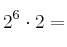
Expresa como un producto de potencias:
– a)
– b)
-
Expresa como un cociente de potencias:
– a)
– b)
-
Expresa el resultado en forma de potencia:
– a)
– b)
-
Expresa el resultado en forma de potencia:
– a)
– b)
