Proporcionalidad y Porcentajes
(16) ejercicios de Proporcionalidad y Porcentajes
-
Comprueba si es cierta la siguiente proporción:

-
Comprueba si es cierta la siguiente proporción:

-
Comprueba si es cierta la siguiente proporción:

-
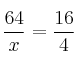
Calcula el valor de
para que se cumpla la siguiente proporción:
-
Calcula el valor de
para que se cumpla la siguiente proporción:
